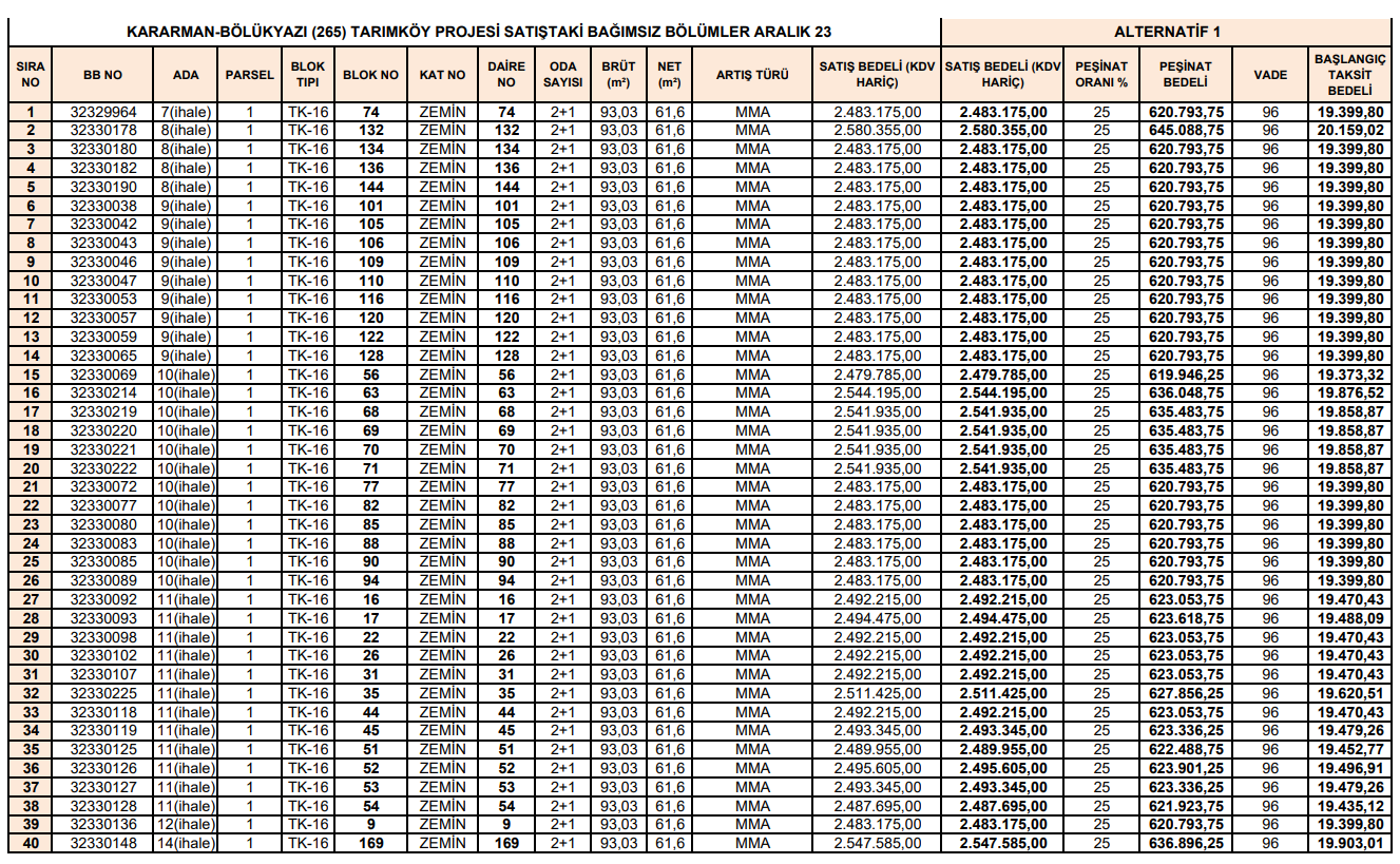
Toplu Konut İdaresi (TOKİ) ve Karaman Valiliği ile işbirliğinde i ile gerçekleştirilen Karaman-Bölükyazı Tarımköy Projesi kapsamında İdaremiz stoklarında bulunan TK-16 (2+1) Tipi toplam 40 adet konut 22 Kasım 01-Aralık 2023 tarihleri arasında T.C. Ziraat Bankası A.Ş. Karaman-Piri Reis Şubesinde, başvuru toplanmak üzere kuralı satışa sunulacak.Söz konusu projeye aşağıda yer alan öncelik sırasına göre;1. Bölükyazı Köyü nüfusuna kayıtlı, köyde evi olmayanlar,
2. Bölükyazı Köyü nüfusuna kayıtlı köyde evi olanlar,
3. Karaman il nüfusuna kayıtlı olan veya ilde 1 yıldan az olmamak üzere ikamet eden ve üzerinde evi olmayan,
4. Karaman il nüfusuna kayıtlı olan veya ilde 1 yıldan az olmamak üzere ikamet eden evi olanlar, başvuru yapabileceklerdir. Hak sahibi ve konut belirleme kurası noter huzurunda 11 Aralık 2023 tarihinde Saat 11:00’de İdaremiz Hizmet Binası'nda seyircisiz olarak gerçekleştirilecektir.Noter huzurunda yapılacak Kura çekişinde birinci öncelik Bölükyazı Köyü nüfusuna kayıtlı, köyde evi olmayanlar için yapılacak olup, Köyde evi olmayanların başvuru sayısının konut sayısından az olması durumunda ise diğer kategorilerdeki başvuru sahipleri sırasıyla kuraya dahil edilecektir.Bahsi geçen projede; başvuru bedeli olarak 500TL alınacaktır.Karaman-Bölükyazı Tarımköy Projesinde 40 adet konut, %25 peşin 96 ay vade ile satışı yapılacaktır.Borç bakiyesi ve aylık taksitler her yılın Ocak ve Temmuz aylarında olmak üzere yılda iki kez, bir önceki 6 aylık dönemdeki Memur Maaş Artış Oranı dikkate alınarak İdarece belirlenecek oranda artırılacaktır.İlk taksit ödemesi taşınmazın teslim tarihini takip eden bir sonraki ay başlayacak olup ödemeler her ayın en geç 20. gününe kadar yapılacaktır. İlk 6 aylık dönemsel artış taşınmazın teslimini takip eden bir sonraki artış döneminden itibaren başlatılacaktır.Karaman-Bölükyazı Tarımköy Projesi konutların satış işlemlerinde, T.C. Ziraat Bankası A.Ş. Karaman-Piri Reis Şubesi bankacılık hizmeti verecektir.Kura çekilişi TOKİ Youtube hesabından canlı yayın ile izlenebilecektir.
2. Bölükyazı Köyü nüfusuna kayıtlı köyde evi olanlar,
3. Karaman il nüfusuna kayıtlı olan veya ilde 1 yıldan az olmamak üzere ikamet eden ve üzerinde evi olmayan,
4. Karaman il nüfusuna kayıtlı olan veya ilde 1 yıldan az olmamak üzere ikamet eden evi olanlar, başvuru yapabileceklerdir. Hak sahibi ve konut belirleme kurası noter huzurunda 11 Aralık 2023 tarihinde Saat 11:00’de İdaremiz Hizmet Binası'nda seyircisiz olarak gerçekleştirilecektir.Noter huzurunda yapılacak Kura çekişinde birinci öncelik Bölükyazı Köyü nüfusuna kayıtlı, köyde evi olmayanlar için yapılacak olup, Köyde evi olmayanların başvuru sayısının konut sayısından az olması durumunda ise diğer kategorilerdeki başvuru sahipleri sırasıyla kuraya dahil edilecektir.Bahsi geçen projede; başvuru bedeli olarak 500TL alınacaktır.Karaman-Bölükyazı Tarımköy Projesinde 40 adet konut, %25 peşin 96 ay vade ile satışı yapılacaktır.Borç bakiyesi ve aylık taksitler her yılın Ocak ve Temmuz aylarında olmak üzere yılda iki kez, bir önceki 6 aylık dönemdeki Memur Maaş Artış Oranı dikkate alınarak İdarece belirlenecek oranda artırılacaktır.İlk taksit ödemesi taşınmazın teslim tarihini takip eden bir sonraki ay başlayacak olup ödemeler her ayın en geç 20. gününe kadar yapılacaktır. İlk 6 aylık dönemsel artış taşınmazın teslimini takip eden bir sonraki artış döneminden itibaren başlatılacaktır.Karaman-Bölükyazı Tarımköy Projesi konutların satış işlemlerinde, T.C. Ziraat Bankası A.Ş. Karaman-Piri Reis Şubesi bankacılık hizmeti verecektir.Kura çekilişi TOKİ Youtube hesabından canlı yayın ile izlenebilecektir.











